擺線馬達(
泵)和全液壓轉向器已在我國得到廣泛應用,但國內產品與國外同類型產品相比,在質量上尚有一定差距,而其關鍵零件———擺線輪缺乏簡易的檢測方法是原因之一。本文介紹一種簡易的檢測方法,通過計算,求出擺線輪的參數,提高產品質量,增強此類產品在市場上的競爭力。
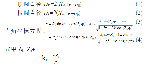
1 短幅外擺線等距曲線
擺線輪齒廓是一條完整的短幅外擺線等距曲線,該曲線由擺線輪齒數Za.偏心距e、針齒半徑a0和針齒分布圓半徑Rz等參數組成。其曲線直角坐標方程和頂圓直徑方程、根圓直徑方程如下:

2、 擺線輪測量
2.1國內現有的測量方法
目前有卜列五種測量擺線輪的方法,即
(1)僅測量DP,D,及齒高H(見圖1>;
(2)裝配時測量擺線輪與針柱之間的徑向間隙值;
(3)用光學投影儀或坐標儀測量;
(4)按圖2所示進行測量用角尺或塊規將扭簧比較儀調到一定數值,順時針轉動擺線輪依此測量各齒。測完后將擺線輪翻身,逆時針轉動擺線輪,測量齒而的左側齒廓。
上述四種方法均不能提供擺線輪的實際參數Rz,和a0。
(5) 量棒法量棒法測量擺線輪(詳見參考文獻2)雖能求出擺線輪實際參數,但因多測兩個線性數據,方法不夠簡便。
2.2簡易測量擺線輪方法
針對上述幾種方法,現提出兩種簡易測量擺線輪的方法。
(1)測量De,Di和M
測量DP,Di,和M的方法見圖1所示。

并依據式(1),(2)中De,Di和式(3)中X極值和夾角的函數關系代入上式進行計算。
測量和計算數據見表1所示。
(2)測量De, Di,及H
De, Di,及H的測量見圖1所示。
令CZ=(De+Di-2H)/(De-Di)
并依據式(1),(2)中De, Di及式(4)中Y極值和夾角的函數關系代入C2的計算公式中進行計算。
測量和計算數據、驗算值見表2.

可解決下列問題:
測繪擺線輪,求其參數Zb,e,Rz和a0
②將擺線輪的實測參數與設計參數進行對比,調整擺線磨床,可使其實測參數與設計參數之間的誤差控制在規定范圍內,從而提高擺線馬達質量;
③若擺線輪已加工好,可調整定子加工參數Rz和a0,使之與擺線輪匹配;
④確定擺線磨床加工精度。
測量誤差引起的擺線輪參數誤差見表3。表3中擺線輪各參數和各測量值的理論值(除Za外,各值單位均為mm)分別為Zb=7;e =5;Rz=55a0,=20和De=80;Di=60; H=71.0822,它們的誤差分別為Δe , ΔRz, Δa0,和ΔDe, ΔDi, ΔH 。

測量的誤差越小,參數誤差越小;
從序號5 -8中的數據可以看出: ΔDi對ΔRz, Δa0。和Δe的影響較小,可以忽略不計;
③序號1一12所列,均為單項測量誤差,若三項均有測量誤差,擺線輪參數誤差變化是復雜的。
2.3幾點說明
(1)上述兩種簡易方法僅適用于測量擺線輪齒數Za為偶數(即Zb為奇數)的短幅外擺線等距曲線,Za為奇數時,擺線輪檢測另有它法。
(2)通過上述兩種簡易測量方法而計算求得的擺線輪參數e,Rz和a0,可由式(1) , (2) , (3)或式(1),(2),(4)進行驗算。在求得Rz,e ,a0。后由式(3)或式(4)求極值Xmax或Ymax驗算時,H=2Ymax ,M=2X max 。
(3)Za,De,Di,和M的測量有一定的局限性。
在0°≦ψ≦360°/Za范圍內,當Zb =7 ,k1 <0.61307或Zb=9 , k1<0.7627時,直角坐標方程中,短幅外擺線等距曲線的X值隨著平的增大而增大,沒有極值,不能測得2Xmax值(即M值),此時無法用該方法測量計算擺線輪參數。
3結論
漸開線圓柱齒輪的每個齒由兩條漸開線組成。在GB/T10095-1988中,漸開線圓柱齒輪共分12個精度等級,有13個公差(偏差)值要求和一個接觸斑點要求。在有些行業標準中,雖對擺線馬達進行質量分等,但全部齒廓由一條完整的短幅外擺線等距曲線組成的擺線輪沒有尺寸誤差的規定,這是不合理的。木文提供的簡易檢測方法,將為制訂這方而的規定或標準提供依據。
國產擺線馬達與國外同類產品相比,質量較低。我國現已加入WTO,如何參與國內外市場競爭,也就是如何縮小國內外此類產品在質量和價格上的差距,是當務之急。木文希望能對提高擺線馬達質量有所幫助。